Skip to Content
Open Menu
Close Menu
Home
Workshops
Store
Writing
The Third Chair Blog
Free Resources
Philo
About
0
0
Home
Workshops
Store
Writing
The Third Chair Blog
Free Resources
Philo
About
0
0
Open Menu
Close Menu
Home
Workshops
Store
Folder:
Writing
Back
The Third Chair Blog
Free Resources
Philo
About
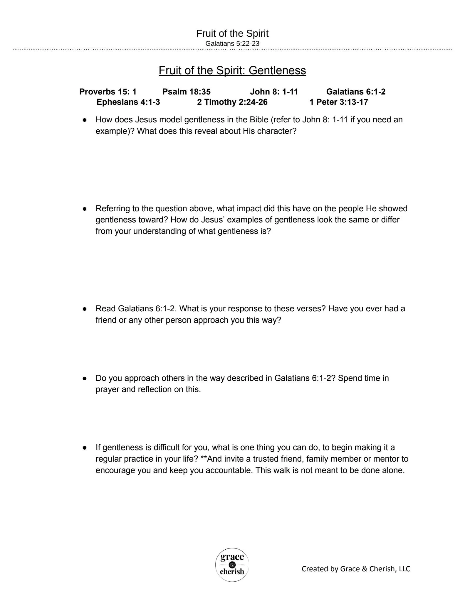
Fruit of the Spirit
Download your PDF here or scroll down to read the Guide
Download the Guide